
|
||||||||||
|
||||||||||
|
||||||||||
|
||||||||||
|
||||||||||
|
||||||||||
|
||||||||||
|
||||||||||
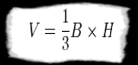
|
|
Définition : Dans une pyramide : la base est un polygone (dans l’exemple ci-dessus, c’est le quadrilatère EFGH) ;
Définition Pyramide régulière : On dit qu’une pyramide est régulière lorsque : - sa base est un polygone régulier ; - la hauteur issue du sommet, passe par le centre du polygone régulier.
Les Patrons :
Les Pyramides Coupés Par un Plan:
Les Pyramides Autours de Nous:
|
| Pyramides Diverses |
| © 2010 Design By Loïck |